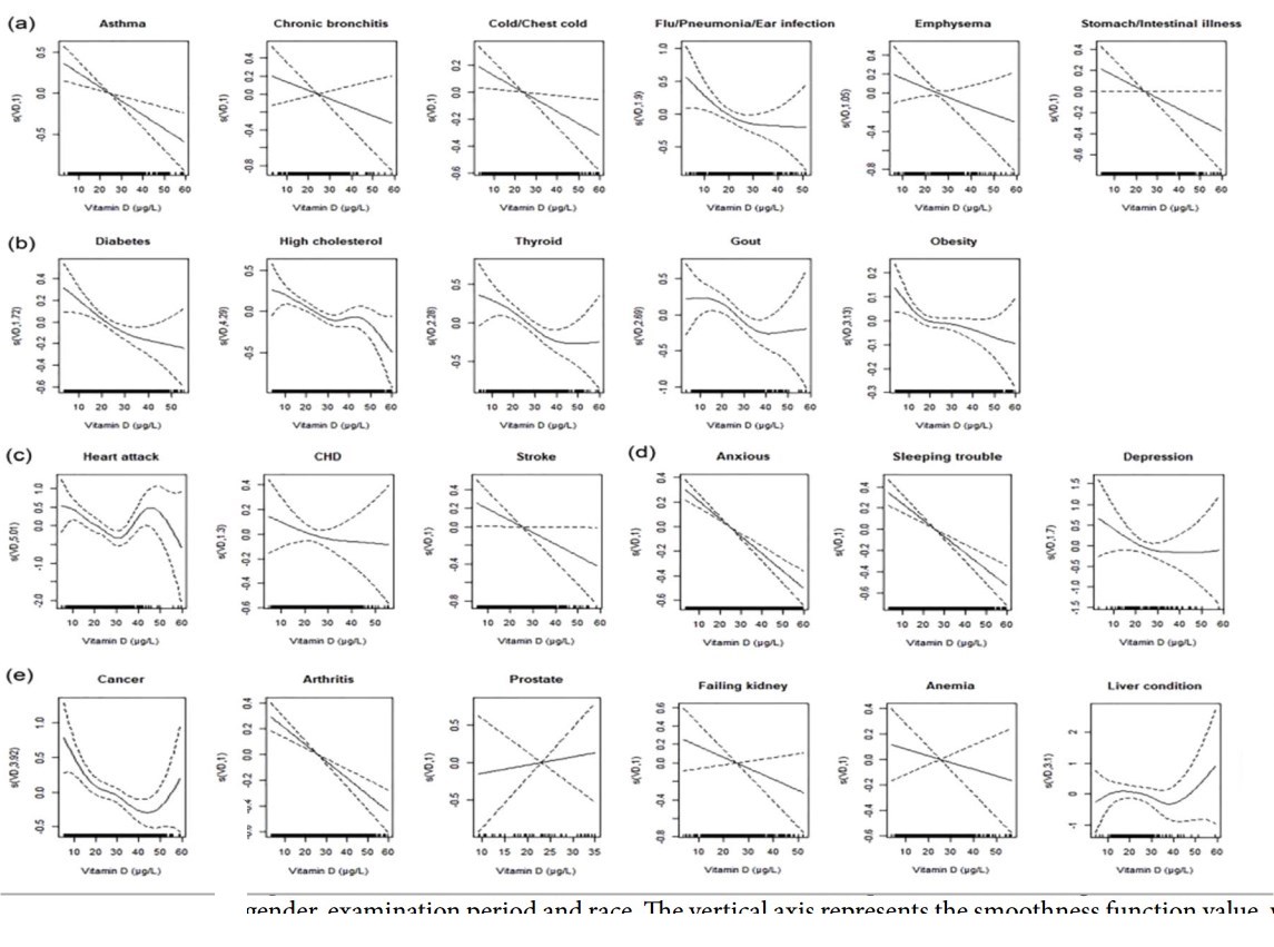
Vitamin D reduces autoimmune, cardio, and metabolic Inflammation
The Anti-Inflammatory Roles of Vitamin D for Improving Human Health
Curr. Issues Mol. Biol. 2024, 46(12), 13514-13525; https://doi.org/10.3390/cimb46120807
by Aysen Kutan Fenercioglu ORCID
Department of Family Medicine, Cerrahpasa Medical Faculty, Istanbul University-Cerrahpasa, Istanbul 34098, Turkey



Vitamin D receptors (VDRs) are present in almost all cells of the immune system, including B cells, T cells, NK (Natural Killer) cells, dendritic cells, and monocytes, as well as the epithelial cells of many organs such as the intestine, pancreas, prostate, lungs, and cardiomyocytes. In addition, some immune cells, including dendritic cells, macrophages, and B and T cells, can synthesize calcitriol by expressing 1α-hydroxylase. Upon binding to VDRs, vitamin D (Vit D) regulates the expression of genes involved in immune responses, including those encoding for cytokines. It modulates the production of pro-inflammatory cytokines while promoting the synthesis of anti-inflammatory cytokines. Vit D also affects the differentiation and maturation of cells of the immune system. By inhibiting the nuclear factor kappa B (NF-ÎșB) and mitogen-activated protein kinase (MAPK) pathways, Vit D reduces the expression of pro-inflammatory genes. These effects highlight the potential of Vit D as a therapeutic agent in the management of inflammatory diseases, including autoimmune disorders, cardiovascular diseases, diabetes, metabolic syndrome, cancer, neurological diseases, depression, and inflammatory bowel disease.
đ Download the PDF from Vitamin D Life
Vitamin D Life â Inflammation category:
{include}
CRP is greatly influenced by vitamin D, Omega-3s, and Magnesium, GRH Oct 2023

11+ Vitamin D Life pages have CRP in the title
The list is automatically updated
{LIST()}