Vitamin D needed for 12 ng in winter in Finland – Whites 320 IU, Blacks 720 IU
Differences in the dietary requirement for vitamin D among Caucasian and East African women at Northern latitude
European Journal of Nutrition, pp 1–11 | https://doi.org/10.1007/s00394-018-1775-1
Kevin D. Cashman, Christian Ritz, Folasade A. Adebayo, Kirsten G. Dowling, Suvi T. Itkonen, Taina Öhman, Essi Skaffari, Elisa M. SaarnioMairead KielyChristel Lamberg Allardt
PDF is available free at Sci-Hub 10.1007/s00394-018-1775-1

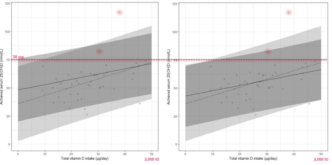
Note: Virtually no women got above 30 ng with up to 2,000 IU of daily vitamin D
Context
Current vitamin D recommendations have been established based on an assumption that there are no differences between Caucasian and other ethnic/racial groups in terms of vitamin D requirements. This assumption, largely made due to the absence of data, is a key knowledge gap identified by a number of authorities.
Objective
To test whether the distribution of dietary requirements for maintaining winter serum 25-hydroxyvitamin D [25(OH)D] concentrations ≥ 30 nmol/L (a priority threshold linked to vitamin D deficiency prevention) differ between Caucasian and Somali women living at northerly latitude.
Methods
We used data from a 5-month, winter-based, vitamin D3 dose-related randomized, placebo-controlled trial in Somali (n 47) and Causcian women (n 69), aged 21–64-year old, living in Southern Finland (60°N), to model the vitamin D intake–serum 25(OH)D dose–response relationship. Regression analyses were used to predict the vitamin D intake required to maintain 97.5% (as well as 50, 90, and 95%) of women in both ethnic groups above serum 25(OH)D thresholds of 30, 40 and 50 nmol/L.
Results
Using a model which adjusted for baseline 25(OH)D, age, and BMI, the estimated vitamin D intake that maintained serum 25(OH)D ≥ 30 nmol/L in 97.5% of Caucasian and Somali women was 8 and 18 µg/day, respectively. Ethnic differences were also evident at 40 and 50 nmol/L serum 25(OH)D thresholds.
Conclusion
The present study adds further evidence that ethnic differences in the dietary requirement for vitamin D do exist and that dose–response vitamin D intervention studies are required in at-risk target populations specified by ethnicity.