Is 50 ng of vitamin D too high, just right, or not enough
Overview of the controversy
A few governments say 10 ng is OK
Some governments say 20 ng is OK
Some governments say 30 ng is OK
Most experts say 40 ng is good
Some experts say 50 ng is much better for disease prevention
A few people think that > 80 ng is needed to deal with possible vitamin D restrictions due to genes
One doctor found that >80 ng was the right level for 2,000 patients in his clinic
Health problems that run in families are often associated with low vitamin D
Some experts say 50 ng is too much
Some concern that >40 ng may be too much if taking some fixed chemotherapy or not adjust cofactors
Some experts feel 50 ng is not enough to TREAT some diseases
Consensus: 0 ng is bad and 30 ng is good/ok
Notional Graph of Expert Opinions of levels with Vitamin D MONOTHERAPY

Note: Monotherapy just increases vitamin D levels, and rarely adjusts the cofactor intake (Ca, Mg, Vitamin K2, Omega-3, etc)
Vitamin D needed to TREAT Health problems (30 ng to 150 ng)
| Vitamin D | Treats |
| 150 ng | Multiple Sclerosis ✻ |
| 80 ng | Cluster Headache ✻ Reduced office visits by 4X ✻ |
| 70 ng | Sleep ✻ |
| 60 ng | Breast Cancer death reduced 60% Preeclampsia RCT |
| 50 ng | COVID-19 T1 Diabetes Fertility Psoriasis Infections Review Infection after surgery |
| 40 ng | Breast Cancer 65% lower risk Depression ACL recovery Hypertension Asthma? |
| 30 ng | Rickets |
✻ Evolution of experiments with patients, often also need co-factors
At Vitamin D Life - need 20 - 49 ng
Stress fractures 2X less frequent when vitamin D more than 40 ng – June 2011
Lung cancer not reduced when vitamin D levels were less than 40 ng – June 2011
Four reasons why vitamin D levels should be higher than 30 ng – Aug 2011
Mortality reduced 30 percent when vitamin D increase by 20 ng, 35ng/ml optimal? – Dec 2011
Traditionally living Africans have 46 ng vitamin D levels – Jan 2012
Much less depression if more than 43 ng of vitamin D – Oct 2012
Best heart geometry associated with vitamin D of 30-37 ng – Oct 2012
More than 30 ng of vitamin D probably needed for long-latency diseases – Aug 2012
Semen worse when vitamin D lower than 20 or higher than 50 ng – Oct 2012
Teens no longer depressed after vitamin D raised to 36 ng – Feb 2012
European Osteo group recommends 20-50 ng of vitamin D – Jan 2013
30 to 50 ng of vitamin D is optimal – Central Europe consensus Sept 2013
Vitamin D supplementation guidelines (adults – 50,000 IU per week) – Feb 2017
Critically Ill or injured patients need 30-50 ng of Vitamin D – Matthews March 2020
More than 30 ng of vitamin D is needed for many diseases - Feb 2022

At Vitamin D Life - 50 - 60 ng
Type 1 Diabetic inflammation reduced by 50 ng of Vitamin D - Dec 2024
Many diseases prevented if Vitamin D level higher than 50 ng -Sunil June 2024
Rheumatic Diseases often treated by Vitamin D, may need 40-60 ng – Oct 2021
Less muscle inflammation after exercise if high level of Vitamin D (50 ng) -July 2021
Saudi study defines normal Vitamin D level to be 50 to 70 ng (diabetes, etc.) - June 2020
NCAA trainers are getting on board the Vitamin D train (40-50 ng)– Nov 2019
More than 30 ng of vitamin D is sometimes needed (Kidney needs 50 ng) – March 2019
Vitamin D is needed for human fertility – goal is 50 ng – Sept 2018
Vitamin D - at least 4,000 IU to achieve 40-60 ng and reduce risk of early death – Holick June 2018
Psoriasis reduced for those getting Vitamin D levels above 50 ng – RCT Feb 2018
Healthy Pregnancies and infants for women having 40 – 80 ng of vitamin D – Nov 2017
Vitamin D (40-70 ng) in Children’s Health – review Sept 2014
Little risk of infection after surgery if have more than 50 ng of vitamin D - 2014
Prevent half of T1 Diabetes with vitamin D levels of 50 ng – Dec 2012
Vitamin D decreases incidence of disease many charts showing great benefits 40-60 ng
USANA 50 ng/ml with graph
GrassrootsHealth.net 41 experts 40-60 ng/ml after IoM report
Polish conference recommended vitamin D levels from 30 to 60 ng – Oct 2012
A group of 6,000 people have vitamin D levels higher than 50 ng – GrassrootsHealth
Many more people now have vitamin D levels above 50 ng, especially seniors – May 2015
Vitamin D is needed for human fertility – goal is 50 ng – Sept 2018
Best Vitamin D- 40 to 52 ng, achieved with 4000 – 6000 IU daily – Heaney Oct 2014
Sports benefits from up to 50 ng of Vitamin – meta-analysis - Nov 2012
At Vitamin D Life - need > 60 ng
Supplement preterm infants with vitamin D if less than 80 ng – RCT Sept 2021
Saudi study defines normal Vitamin D level to be 50 to 70 ng (diabetes, etc.) - June 2020
Parkinson’s Disease Summer School – therapies included 60-80 ng of Vitamin D – Sept 2019
Pure North (Calgary) improves health by raising vitamin D to 60 ng
Vitamin D treats and prevents a variety of eye problems (need 70 ng) – June 2018
Autism treated by Vitamin D (80 – 120 ng) – Cannell update May 2018
Vitamin D (40-70 ng) in Children’s Health – review Sept 2014
Need at least 80 ng of vitamin D if have chronic kidney disease – May 2012
Need at least 80 ng of vitamin D if have chronic kidney disease – May 2012
Many sleep disorders cured with vitamin D levels of 60 to 80 nanograms – May 2012
Treatment (not just prevention) seems to require higher levels of vitamin D.
Vitamin D level can be high, but little benefit: due to kidney, genes, low Magnesium etc.
Dr. who got patients to vitamin D level of 80 ng - went out of business, patients became too healthy
Autoimmune diseases such as MS treated/reversed - 150 ng of vitamin D
Comparing High-dose vitamin D therapies 60-150 ng
Healthy Pregnancies and infants for women having 40 – 80 ng of vitamin D – Nov 2017
May 2023 study 30-60 ng

At Vitamin D Life - COVID
{include}
At Vitamin D Life - Optimal/Treatment
Vitamin D sufficiency 10 to 30 ng, optimal 40 to 80 ng (no consensus)– May 2018
Sleep disorders cured by 60-80 ng of vitamin D and some B vitamins – March 2013
Optimum Vitamin D level: Evidence for 30 and 40 ng – Grant Aug 2013
Update on Treating Multiple Sclerosis with high dose vitamin D - Sept 2013 150 ng
Need 40 to 80 ng of vitamin D to lose weight – Colgan Sept 2013
Vitamin D of 32 to 60 ng is needed before, during, and after pregnancy – Dec 2012
More than 30 ng of vitamin D probably needed for long-latency diseases – Aug 2012
How often might 50,000 IU vitamin D be taken - results of clinical trials
Need at least 80 ng of vitamin D if have chronic kidney disease – May 2012
At Vitamin D Life - other
Hypothesis by Vitamin D Life – Vitamin D levels are no longer limited by evolution
Consensus Vitamin D category listing has items along with related searches
Same dose of vitamin D for everyone is virtually impossible - Dec 2015

Some indications that >40 or >50 ng may sometimes cause some problems
Too little of cofactors such as Magnesium, Vitamin K2, etc.
Too much of co-factor Calcium (probably just 500-750 mg]
40 ng Vitamin D perhaps optimal for reduced mortality – Meta-analysis Jan 2012
U shaped risk curves at high latitudes that is, increasing disease risk for high levels of vitamin D
Veith 2011 - in latitudes with high UVB fluctuation
Dr. Grant believes this is due to long follow-up time - see bottom of this page
Even if a J curve exists, it is 50X better to give vitamin D than not give it – May 2013
Too much Vitamin D category listing has items along with related searches
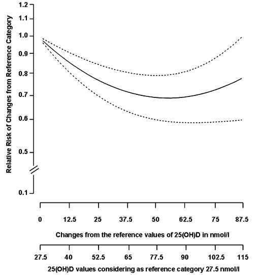
Perhaps increase fraility if > 40 ng see following graph

Agreement: 50 ng is NOT TOXIC
U Shaped curve due to long follow-up time, not latitude - by Dr. Grant
The U-shaped relationship comes only from prospective studies with long follow-up times.
In my considered opinion, it is an artifact of the long follow-up time, not high latitude.
References (some of which are in Vitamin D Life)
Robien K, Cutler GJ, Lazovich D. Vitamin D intake and breast cancer risk in postmenopausal women: the Iowa Women's Health Study. Cancer Causes Control. 2007 Sep;18(7):775-82.
Lim U, Freedman DM, Hollis BW, Horst RL, Purdue MP, Chatterjee N, Weinstein SJ, Morton LM, Schatzkin A, Virtamo J, Linet MS, Hartge P, Albanes D. A prospective investigation of serum 25-hydroxyvitamin D and risk of lymphoid cancers. Int J Cancer. 2009 Feb 15;124(4):979-86.
Grant WB. Effect of interval between serum draw and follow-up period on relative risk of cancer incidence with respect to 25-hydroxyvitamin D level; implications for meta-analyses and setting vitamin D guidelines, Dermato- Endocrinology, 2011 July, Aug Sept.;3(3) epub (lag) http://www.landesbioscience.com/journals/dermatoendocrinology/article/15364/
Grant WB. Additional strong evidence that optimal serum 25(OH)D levels are at least 75 nmol/l. Int J Epi 2011 40: 1005-1007.
Chart of Vitamin D levels vs race - April 2013
See also Google Scholar
(optimal+OR+optimum) "Vitamin+D" 611,000 items as of Jan 2024
- Note: need to also search for: 125 nmol, 150 nmol, 200 nmol
See also web - vitamin D test "reference range" = 20-100 ng
- Quest Diagnostics 20-100 ng Nov 2013, Dec 2016, March 2019. April 2021
Grassroots Health infographic 40-60 ng (2020)

49+ pages have 50 ng in the Vitamin D Life title
This list is automatically updated
{LIST()}
short URL = http://is.gd/Dlevels