40 ng Vitamin D perhaps optimal for reduced mortality – Meta-analysis
Vitamin D deficiency and mortality risk in the general population: a meta-analysis of prospective cohort studies.
Am J Clin Nutr. 2011 Dec 14.
Zittermann A, Iodice S, Pilz S, Grant WB , Bagnardi V, Gandini S.
Clinic for Thoracic and Cardiovascular Surgery, Heart Centre North Rhine-Westphalia, Ruhr University Bochum, Bad Oeynhausen, Germany, San Francisco, CA.
Background: Low vitamin D status may increase mortality risk.
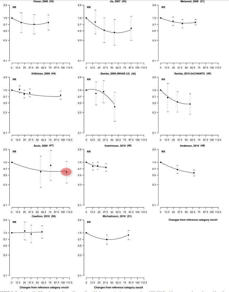
OBJECTIVE: We used nonparametric ("highest compared with lowest" categories) and parametric (>2 categories) statistical models to evaluate associations of 25-hydroxyvitamin D [25(OH)D] serum concentrations and mortality in observational studies among general populations.
DESIGN: We searched PubMed, EMBASE, Web of Science, and reference lists for relevant articles. We included studies that contained data on relative risks (RRs) for mortality for different 25(OH)D concentrations, which included a corresponding measure of uncertainty, and this yielded 14 prospective cohort studies that involved 5562 deaths out of 62,548 individuals. We applied log-transformed RRs and CIs, adjusted for the maximal number of confounding variables. In the parametric model, which is based on 11 studies and 59,231 individuals, we used the lowest quantile as the reference category.
Results: For "highest compared with lowest" categories of 25(OH)D, the estimated summary RR of mortality was 0.71 (95% CI: 0.50, 0.91). In the parametric model, the estimated summary RRs (95% CI) of mortality were 0.86 (0.82, 0.91), 0.77 (0.70, 0.84), and 0.69 (0.60, 0.78) for individuals with an increase of 12.5, 25, and 50 nmol 25(OH)D serum values/L, respectively, from a median reference category of ?27.5 nmol/L.
There was, however, no significant decrease in mortality when an increase of ?87.5 nmol/L above the reference category occurred.
Conclusion: Data suggest a nonlinear decrease in mortality risk as circulating 25(OH)D increases, with optimal concentrations ?75-87.5 nmol/L.
Many studies show that having more vitamin D is better
Note: the breakpoint of high vs low vitamin D is variable

Dark line shows the summary results of many studies


Note: There is only a single datapoint for the far right of the curve (45 ng)
PMID: 22170374
📄 Download the PDF from Vitamin D Life
See also Vitamin D Life
Should increase life expectancy by 2 years if double vitamin D levels – July 2011 Dr. Grant
Mortality reduced 1 % for every nanogram increase in vitamin D – Feb 2012
Low vitamin D associated with respiratory, digestive, and other deaths – Dec 2012
